As a first-time mom-to-be, when I heard the term “Birth Plan” I wondered what it was?! I was worried thinking did I miss anything and was not prepared for it? Luckily, I had the privilege to attend prenatal classes during my pregnancy. That was when one of the guest speakers mentioned and talked at length about having a birth plan. I thought to myself, well, this is simple. I know my birth plan and that it is going to be a hospital delivery.
But when I got home, I ran some Google searches and started reading about this new terminology and everything about the birth plan. It was not just a plan to deliver at the hospital but all the wishes of how I would imagine my birthing experience to be.
So to put it in simple words, a Birth Plan lists a mother’s desire for her labor and delivery experience. This comes in handy while you are tired and exhausted from the labor and the doctor and labor nurses can refer to.
Writing a birth plan can be a time-consuming process and so I would best recommend you start writing as soon as you are in your second trimester. This gives you enough time to add all your expectations to the plan and in case you had to go into labor early, you have it in place.
Here are the things you should have on your birth plan:
- Your personal information
- Support person’s details
- Due date and OB’s name and details
- Hospital Name – this comes in handy if you were to run into an emergency by 911 call in case no harm in writing it
- Special Comments – you can write all your wishes/feelings about how you feel about this special journey of motherhood. What you wish to accomplish with the help of others around you
- List any allergies you have e.g. latex/fragrances/medicines
- List your fears if you want your hospital staff to know. Personally, I am scared of needles! And this totally went on my birth plan (list things you want help with and the nurses/doctors will try to accommodate for you)
- List any special accommodations you need (if you speak little English, etc.)
- Your labor wishes such as environment (how do you want to room to be set, any music/lights/how many people/access to shower or table/stool), fetal monitoring, etc.; labor position that you intend to try, how you want the labor to progress – walking around, in the shower, standing/rocking, etc.
- Other notes could include details such as the name of your child if you picked one, if not, there is nothing to worry about, your child will be recorded as “baby, mother’s last name”; my son was called “baby boy Thaker” throughout our hospital stay
- Post-Delivery wishes if you’d like to hold the baby immediately post-birth, skin to skin with mom and dad, etc.
- Feeding the baby after birth, whether you’d like to breastfeed or bottle-feed and if you need help with this
- Any other important information for your labor & delivery team such as list your fears(scared of needles, claustrophobic, any medical history, etc.), if you want your baby to be bathed or not, should circumcision be done if its a boy, etc.
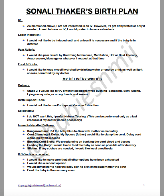
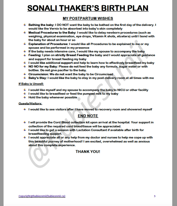
For your reference, below is my birth plan! Also, click here to download a Birth Plan Template to create your own! Happy birthing!



